-
Intereses
pagados por créditos con garantía hipotecaria, según
Art. 55 bis (código 750)
- Contribuyentes
que tienen derecho a la rebaja por concepto de intereses provenientes
de créditos con garantía hipotecaria
De acuerdo a lo dispuesto por el inciso primero del nuevo
artículo 55 bis incorporado a la Ley de la Renta, los
contribuyentes que tienen derecho a rebajar los intereses
provenientes de créditos con garantía hipotecaria
a que se refiere dicha disposición legal, son los siguientes:
-
Los contribuyentes, personas naturales, afectos
al impuesto Unico de Segunda Categoría establecido
en el artículo 43 N° 1 de la Ley de la Renta;
o
- Los
contribuyentes, personas naturales, afectos al
impuesto Global Complementario establecido en el artículo
52 de la Ley de la Renta, cualquiera que sea el tipo de
rentas -efectivas o presuntas- que declaren en
la base imponible de dicho tributo.
- Concepto
de la rebaja y operaciones de las cuales debe provenir dicha
deducción
La rebaja consiste en la deducción de la base imponible
anual de los impuestos antes mencionados de los intereses
efectivamente pagados durante el año calendario correspondiente
a las rentas que se declaran, provenientes o devengados
de uno o más créditos con garantía
hipotecaria que se hubieren destinado a adquirir o construir
una o más viviendas destinadas a la habitación
o provenientes o devengados de créditos de igual naturaleza
(con garantía hipotecaria) destinados a pagar los créditos
antes señalados, cualquiera que sea la fecha en que
se otorgaron dichos créditos - incluídos los
denominados créditos complementarios o de enlace, en
la medida que comprendan una garantía hipotecaria-,
excluyéndose, por lo tanto, de tal beneficio todo crédito
que no reúna las características antes mencionadas,
esto es, que no se trate de créditos con garantía
hipotecaria. Respecto de este punto es necesario aclarar
que no es requisito según la norma que contiene el
beneficio que se comenta, que el crédito respectivo
sea garantizado con una hipoteca que recaiga sobre el mismo
inmueble destinado a la habitación que se adquiere
o construye con el citado crédito, pudiendo, por lo
tanto, garantizarse el mencionado crédito con una o
varias hipotecas que recaigan sobre otros inmuebles.
Por otra parte, de acuerdo con lo dispuesto por la norma legal
que se comenta, la persona o institución que otorgue
el crédito con garantía hipotecaria no se encuentra
limitada solamente a las instituciones bancarias o financieras.
En resumen, la rebaja de las bases imponibles de los impuestos
personales indicados, consiste en lo siguiente:
-
De los intereses efectivamente pagados durante el año
al que corresponden las rentas que se están declarando
en las bases imponibles de los impuestos antes indicados,
devengados o provenientes de créditos con garantía
hipotecaria que se hubieren destinado a adquirir o construir
una o más viviendas destinadas a la habitación,
cualquiera que sean las características de éstas,
esto es, nuevas o usadas o acogidas a normas de textos
legales especiales, como ser, entre otras, sujetas a las
disposiciones del DFL N° 2, de 1959, pero no acogidas
a la franquicia tributaria de la Ley N° 19.622.
- De
los intereses efectivamente pagados durante el año
al que corresponden las rentas que se están declarando
en las bases imponibles de los impuestos antes indicados,
devengados o provenientes de créditos de igual
naturaleza a los señalados en el punto (2.i) anterior,
esto es, con garantía hipotecaria, destinados a
pagar los créditos originales indicados en el punto
precedente.
Cabe precisar, en todo caso, que dentro del concepto de intereses
no corresponde incluir otros recargos, como ser seguros, comisiones,
etc., sino que sólo las cantidades que legalmente se
definen como interés.
- Monto
a que asciende la rebaja
De conformidad a lo dispuesto por el inciso segundo del nuevo
artículo 55 bis de la Ley de la Renta, la cantidad
máxima a deducir por concepto de intereses será
la cantidad menor de la comparación entre el monto
del interés efectivamente pagado durante el año
calendario respectivo, debidamente actualizado en la forma
que se indica más adelante, y la cantidad de 8 Unidades
Tributarias Anuales (UTA), vigentes en el mes de Diciembre
del año calendario correspondiente. Para el presente
Año Tributario 2002 la referida rebaja asciende a la
cantidad de $ 2.738.304.
- Forma
en que operará el límite máximo antes
indicado
El límite máximo indicado en el N° 3 precedente,
operará bajo los siguientes términos:
- Cuando
la renta bruta imponible anual que declare el contribuyente
en el impuesto personal que le afecta (sumatoria de
rentas o cantidades registradas en Líneas 1 a la
10 del Formulario N° 22), sea inferior a 90 Unidades
Tributarias Anuales (UTA), vigentes en el mes de Diciembre
del año calendario respectivo (inferior a $
30.805.920), la rebaja operará por el total
de los intereses efectivamente pagados durante el año
calendario correspondiente debidamente actualizados, hasta
el monto máximo de 8 Unidades Tributarias Anuales
indicado en el N° 3 precedente;
-
Cuando la renta bruta imponible anual que declare el contribuyente
en el impuesto personal que le afecte (sumatoria de
rentas o cantidades registradas en Líneas 1 a la
10 del Formulario N° 22), sea igual o superior
a 90 Unidades Tributarias Anuales (UTA) vigentes en el
mes de Diciembre del año calendario respectivo
( = ó > a $ 30.805.920) e inferior o
igual a 150 Unidades Tributarias Anuales vigente en el
mismo mes antes indicado ( < ó = a $ 51.343.200),
el monto de la rebaja por concepto de intereses en este
caso se determinará multiplicando el interés
deducible por el resultado -que se considerará
como porcentaje- de la resta entre 250 y la cantidad que
resulte de multiplicar el factor 1,667 por la renta bruta
imponible anual del impuesto de que se trate, expresada
en Unidades Tributarias Anuales vigentes en el mes de
Diciembre del año calendario correspondiente.
En otras palabras, cuando la renta bruta imponible anual
que declare el contribuyente en el impuesto que corresponda,
sea igual o superior a 90 Unidades Tributarias Anuales
e inferior o igual a 150 Unidades Tributarias Anuales
vigente en el mismo mes antes señalado, el monto
del interés a rebajar en este caso será
el porcentaje mencionado aplicado sobre el interés
efectivamente pagado por el contribuyente con un máximo
deducible anual de 8 UTA vigente en el mismo mes precitado,
equivalente dicho porcentaje a la cantidad que resulte
de restar a 250 la renta bruta imponible anual expresada
en UTA declarada por el contribuyente multiplicada previamente
esta última por el factor 1,667; y
-
Cuando la renta bruta imponible anual que declare el contribuyente
en el impuesto personal que le afecte (sumatoria de
rentas o cantidades registradas en Líneas 1 a la
10 del Formulario N° 22), sea superior a 150 Unidades
Tributarias Anuales (UTA), vigente en el mes de Diciembre
del año calendario respectivo, en tal caso el contribuyente
no tendrá derecho a la rebaja por concepto de intereses,
cualquiera que sea el monto de éstos.
Lo antes expuesto se puede graficar a través del siguiente
ejemplo

- Personas
que tienen derecho a la rebaja
-
Conforme a lo dispuesto por el inciso tercero del artículo
55 bis de la Ley de la Renta, la rebaja que se comenta
sólo podrá invocarse o hacerse efectiva
por un contribuyente que sea persona natural afecto a
cualquiera de los impuestos indicados en el N° (1)
anterior y por cada vivienda adquirida mediante un crédito
hipotecario con garantía hipotecaria de aquellos
señalados en el N° (2) precedente.
-
Cuando la vivienda sea adquirida en comunidad,
y por lo tanto, exista más de un deudor, en estos
casos, deberá dejarse expresa constancia en la
escritura pública respectiva de la identificación
del comunero y deudor que hará uso de la totalidad
de la rebaja tributaria que se comenta, consignando en
el instrumento público correspondiente una leyenda
de un tenor similar al siguiente: "La rebaja por
concepto de intereses a que se refiere el artículo
55 bis de la Ley de la Renta que se paguen con motivo
del crédito con garantía hipotecaria que
se otorga mediante la presente escritura para la adquisición
o construcción de una o más viviendas destinadas
a la habitación, será utilizada en su totalidad
por el comunero y deudor Sr. .................................,
RUT. ......................., individualizado en la cláusula...........
de esta escritura pública".
-
Para los efectos de esta rebaja debe tenerse presente
que al estar concebido el beneficio de que se trata, en
favor de los contribuyentes del Impuesto Unico a la rentas
del trabajo y del Impuesto Global Complementario, esto
es, contribuyentes que tienen la calidad de persona natural,
la comunidad solamente puede estar formada por dicho tipo
de personas, no pudiendo, en consecuencia, acogerse a
este beneficio las comunidades en que algunos de sus integrantes
sean personas jurídicas.
- Forma
de hacer efectiva la rebaja tributaria en el caso de los contribuyentes
del impuesto Global Complementario
-
De acuerdo a lo dispuesto por el artículo 55 bis
de la Ley de la Renta indicado en el N° (5) precedente,
la rebaja tributaria que se comenta del Impuesto Global
Complementario los contribuyentes la efectuarán
directamente de las rentas debidamente actualizadas, efectivas
o presuntas, incluidas en la renta bruta global de
dicho tributo, actualizando previamente las cantidades
a deducir por el concepto señalado en la forma
prevista en el inciso final del artículo 55º
de la Ley de la Renta, esto es, de acuerdo al porcentaje
de la variación experimentada por el Indice de
Precios al Consumidor en el período comprendido
entre el último día del mes que antecede
al pago efectivo del interés y el mes de Noviembre
del año correspondiente.
En todo caso, la deducción a efectuar no debe exceder
del monto máximo establecido en el N° (3) anterior,
aplicado éste en la forma indicada en el N°
(4) precedente.
-
Se hace presente que también se comprenden dentro
de este grupo de contribuyentes las personas que, además
de las rentas del trabajo dependiente, obtengan otros
ingresos afectos al impuesto Global Complementario. Por
lo tanto, los contribuyentes que se encuentren en esta
situación deben efectuar la rebaja por concepto
de intereses de la base imponible del impuesto Global
Complementario que les afecta por el conjunto de las rentas
obtenidas.
- Forma
de hacer efectiva la rebaja tributaria en el caso de los contribuyentes
afectos sólo al impuesto Unico de Segunda Categoría
En virtud de lo dispuesto en los incisos cuarto, quinto y
sexto del artículo 55 bis en referencia, estos contribuyentes
para gozar de la rebaja tributaria que contiene dicho precepto
legal, deberán efectuar una reliquidación anual
del Impuesto Unico de Segunda Categoría que les afecta,
reliquidación que realizará a través
del Formulario N° 22 de la siguiente manera:
-
En primer lugar, las bases imponibles del Impuesto Unico
de Segunda Categoría determinadas en cada mes del
año calendario respectivo, se actualizarán
en la forma dispuesta por el inciso penúltimo del
artículo 54º de la Ley de la Renta, esto es,
de acuerdo al porcentaje de variación experimentada
por el Indice de Precios al Consumidor en el período
comprendido entre el último día del mes
que antecede al de la percepción de las rentas
que constituyen la base imponible de dicho tributo y el
último día del mes de noviembre del año
respectivo;
-
En segundo lugar, de la base imponible anual actualizada
en los términos antes indicados, se deducirá
el monto de los intereses efectivamente pagados durante
el año calendario respectivo, deducción
que se efectuará debidamente actualizada bajo la
forma prevista por el inciso final del artículo
55º de la Ley de la Renta, esto es, de acuerdo con
el porcentaje de variación experimentada por el
índice de precios al consumidor en el período
comprendido entre el último día del mes
que antecede al pago efectivo del interés y el
mes de noviembre del año correspondiente;
En todo caso se aclara, que el monto a deducir por este
concepto no podrá exceder del monto máximo
establecido en el N° (3) precedente, aplicado éste
en la forma indicada en el N° 4 anterior.
-
La diferencia positiva que resulte de deducir de la cantidad
señalada en el punto (7.i) anterior la indicada
en el punto (7.ii) precedente, constituirá la nueva
base imponible anual del Impuesto Unico de Segunda
Categoría, a la cual se le aplicará la escala
de dicho tributo del artículo 43º Nº
1 de la Ley de la Renta que esté vigente en el
año tributario respectivo, expresada en valores
anuales, esto es, en Unidades Tributarias Anuales, considerando
para tales efectos los créditos y demás
elementos que se utilizan para el cálculo mensual
del citado tributo.
De la aplicación de las escalas de impuesto vigentes
en el año tributario respectivo a la nueva base
imponible anual determinada resulta el nuevo Impuesto
Unico de Segunda Categoría que el contribuyente
de dicho tributo debió pagar después de
efectuada la rebaja tributaria que establece el artículo
55 bis de la ley del ramo.
-
En cuarto lugar, el impuesto único retenido por
el respectivo empleador, habilitado o pagador en cada
mes, sobre la base imponible indicada en el punto (7.i)
anterior, se actualiza en la forma prescrita por el artículo
75º de la Ley de la Renta, esto es, bajo la misma
modalidad indicada en el punto (7.ii) precedente, considerando
para tales fines el mes en que fue efectivamente retenido
el Impuesto Unico de Segunda Categoría por las
personas antes mencionadas, incluyendo la diferencia de
impuesto por la reliquidación anual que resulte
de dicho tributo por rentas simultáneas, diferencia
que se incluirá por el mismo valor determinado,
sin aplicarle reajuste alguno. En todo caso se aclara,
que no deberán considerarse dentro de los impuestos
antes señalados aquellas mayores retenciones efectuadas
a los trabajadores o jubilados por algunos de los empleadores,
habilitados o pagadores, conforme a las normas del inciso
final del artículo 88 de la Ley de la Renta, las
cuales son consideradas pagos provisionales mensuales
voluntarios y deben ser recuperados como tales por los
citados contribuyentes, a través de la Línea
49 (Código 54) del Formulario N° 22.
-
Del impuesto único determinado en el punto (7.iv)
anterior, se deducirá el nuevo impuesto único
determinado en la forma señalada en el punto (7.iii)
precedente, constituyendo la diferencia positiva que resulte
un remanente de impuesto a favor del contribuyente, el
cual podrá dar de abono a cualquier otra obligación
anual que le afecte al término del ejercicio mediante
el Formulario Nº 22 de Declaración de los
Impuestos Anuales a la Renta, como por ejemplo, a la diferencia
de Impuesto Unico de Segunda Categoría que resulte
de la reliquidación anual de dicho tributo por
rentas simultáneas percibidas de más de
un empleador, habilitado o pagador. En el evento que aún
quedare remanente por no existir dichas obligaciones tributarias
anuales o éstas ser inferiores, dicho excedente
será devuelto al contribuyente por el Servicio
de Tesorerías en los términos previstos
por el artículo 97º de la Ley de la Renta.
- Acreditación
de la rebaja por concepto de intereses
Según lo establecido por la Resolución Ex. N°
53, publicada en el Diario Oficial de 17.12.2001, los contribuyentes
los intereses pagados por concepto de la rebaja que se analiza,
deben acreditarlos mediante el modelo de certificado que se
indica a continuación emitido por las instituciones
acreedoras respectivas de los créditos hipotecarios,
hasta el 28 de Febrero del año 2002 y confeccionarse
de acuerdo a las instrucciones de la Circular del SII N°
97, del año 2001, publicada en el Boletín del
mes de Diciembre del año 2001 y Suplemento Tributario
sobre "Instrucciones Generales para las Declaraciones
Juradas 2002", publicado en el Diario El Mercurio del
día 13 de Diciembre del año 2001.
Modelo de Certificado Nº 20, Sobre Intereses Pagados
por Créditos Hipotecarios Otorgados y Demás
Antecedentes Relacionados con Motivo del Beneficio Tributario
Establecido en el Art. 55 Bis de la Ley de la Renta

- Situación
de los contribuyentes que hubieren adquirido una vivienda
en comunidad con créditos hipotecarios de aquellos
a que se refiere el artículo 55 bis de la Ley de la
Renta con anterioridad a la publicación en el Diario
Oficial de la Ley N°19.753, del año 2001.
-
El inciso final del artículo 3° transitorio
de la Ley N° 19.753, del año 2001, preceptúa
que los contribuyentes que hubieren adquirido una vivienda
en comunidad, financiada con crédito con garantía
hipotecaria otorgado a más de uno de los comuneros,
antes de la publicación en el Diario Oficial de
la ley precitada, esto es, con antelación al 28.09.2001,
deberán informar al Servicio de Impuestos Internos
a la Dirección Regional o Unidad que corresponda
a la jurisdicción de su domicilio, mediante una
Declaración Jurada Simple, a presentar hasta
el 30 de Abril del año 2002, cuál de
los comuneros se acogerá al beneficio establecido
en el artículo 55 bis de la Ley de la Renta, individualizando
en dicha declaración jurada tanto al comunero beneficiario
de dicha rebaja como a la vivienda adquirida con el crédito
con garantía hipotecaria. Para efectuar este
tramite se contiene información en la opción
"Declaración Juradas Simples" incorporada en
la página Web del SII (www.sii.cl), según se indica en
la letra (J) del Capítulo I de la primera parte del
Suplemento Tributario.
-
En consecuencia, quién haya sido individualizado
en la Declaración Jurada Simple antes mencionada,
será la persona que podrá hacer uso en su
totalidad de la rebaja por concepto de intereses a que
se refiere el artículo 55 bis de la Ley de la Renta,
deducción que se deberá efectuar de acuerdo
a las instrucciones impartidas en los números anteriores.
-
Cabe señalar que en la situación descrita
en el punto (9.i) precedente, se encontrarían aquellos
contribuyentes que adquirieron viviendas en comunidad
bajo las normas de la Ley N° 19.622, y que por tal
modalidad de adquisición no pudieron acogerse legalmente
a la franquicia tributaria contenida en dicho texto legal,
pudiendo, por lo tanto, conforme a lo establecido por
el inciso final del artículo 3° transitorio
de la Ley N° 19.753, acogerse al beneficio tributario
del artículo 55 bis de la Ley de la Renta, franquicia
que regirá a contar de los intereses que se paguen
a partir del 01.01.2001.
-
Para este efecto debe tenerse presente que al estar concebido
el beneficio de que se trata, en favor de los contribuyentes
del Impuesto Unico a la rentas del trabajo y del Impuesto
Global Complementario, esto es, contribuyentes que tienen
la calidad de persona natural, la comunidad solamente
puede estar formada por dicho tipo de personas, no pudiendo,
en consecuencia, acogerse a este beneficio las comunidades
en que algunos de sus integrantes sean personas jurídicas.
- Opción
de acogerse al beneficio de la rebaja por intereses a que
se refiere el nuevo articulo 55 bis de la ley de la renta
de los contribuyentes acogidos a la franquicia tributaria
establecida en la Ley N° 19.622, por el pago de dividendos
hipotecarios por la adquisicion o construccion de una vivienda
nueva acogida a las normas del D.F.L. N° 2, de 1959
-
El artículo 3° transitorio de la Ley N°19.753,
del año 2001, establece en su inciso primero que
el contribuyente que a la fecha de la publicación
en el Diario Oficial de la ley antes mencionada, esto
es, al 28.09.2001, se encontrare acogido legalmente
a la franquicia tributaria establecida en la Ley N°
19.622, de 1999, sobre rebaja de dividendos hipotecarios
por la adquisición o construcción de una
vivienda nueva sujeta a las normas del DFL N° 2, de
1959, sólo podrá acogerse al beneficio tributario
establecido por el nuevo artículo 55 bis de la
Ley de la Renta, si dicho contribuyente renuncia en forma
expresa a la franquicia o beneficio tributario contenido
en la citada Ley N° 19.622.
-
El contribuyente que opte por el beneficio tributario
del artículo 55 bis de la Ley de la Renta, la renuncia
a la franquicia tributaria de la mencionada Ley N°
19.622, deberá efectuarla mediante una Declaración
Jurada Simple, presentada al Servicio de Impuestos Internos,
a la Dirección Regional o Unidad que corresponda
a la jurisdicción de su domicilio, hasta el
30 de Abril del año 2002. Para efectuar dicha
renuncia se cuenta con una opción disponible en la
página Web del SII (www.sii.cl), alternativamente dicha
renuncia se podrá efectuar presentando la Declaración
Jurada Simple mencionada en la letra (J) del Capítulo I
de la primera parte del Suplemento Tributario.
-
En el caso que el contribuyente haya renunciado a la franquicia
tributaria de la Ley N° 19.622, mediante la presentación
de la Declaración Jurada Simple hasta la fecha
antes mencionada, quedará exclusivamente
acogido al beneficio tributario establecido en el artículo
55 bis de la Ley de la Renta, por todas las viviendas
que tenía acogidas al beneficio de la Ley N°
19.622/99 y respecto de todas las demás viviendas
adquiridas, franquicia que se hará efectiva por
los intereses que se paguen a contar del 01.01.2001.
En consecuencia, y de acuerdo a lo dispuesto por la norma
transitoria antes indicada, los beneficios tributarios
establecidos por las normas precitadas son incompatibles
entre sí, esto es, el contribuyente no puede estar
acogido a ambos beneficios respecto de un mismo bien raíz
o de bienes raíces distintos.
- Vigencia
de esta rebaja tributaria
De conformidad a lo dispuesto por la letra e) del artículo
1° transitorio de la Ley N° 19.753 del año
2001, el beneficio tributario que establece el nuevo artículo
55 bis de la Ley de la Renta, regirá para los intereses
que se paguen efectivamente a partir del 01 de enero del
año 2001, respecto de créditos con garantía
hipotecaria destinados a adquirir o construir una o más
viviendas destinadas a la habitación o de créditos
de igual naturaleza destinados a pagar los créditos
antes mencionados.
A continuación
se plantea un ejemplo práctico de la forma como se efectúa
la reliquidación del Impuesto Unico de Segunda Categoría
por los contribuyentes antes indicados, cuando únicamente
obtengan rentas del artículo 42 N° 1 de la Ley de la
Renta (sueldos) y tengan derecho a la rebaja por intereses
pagados por la contratación de créditos con garantía
hipotecaria para la adquisición de una o más viviendas
destinadas a la habitación o para la cancelación
de los créditos antes mencionados según artículo
55 bis de la Ley de la Renta:
- Antecedentes
- Desarrollo
| Nota:
Se hace presente que si este tipo de contribuyentes, además,
de las rentas del artículo 42 N° 1 (sueldos)
han obtenido otros ingresos o rentas exentas del impuesto
Global Complementario, ya sea, por no exceder los montos
exentos que establece la ley para dicho tributo personal
o la exención proviene de una norma legal expresa,
y los referidos ingresos exentos le den derecho al
contribuyente a la devolución de un crédito,
como puede ser, por ejemplo, el crédito por impuesto
de Primera Categoría asociado a dichas rentas exentas,
los citados contribuyentes deben declarar estas rentas sólo
para los efectos de la recuperación de dicho crédito,
procediendo en tales casos de la siguiente manera: Las rentas
exentas se declararán en la Línea 8 (Código
152), su respectivo incremento cuando corresponda en la
Línea 10 (Código 159 y 749), el crédito
por impuesto de Primera Categoría en el Código
(606) de la Línea 8 y Línea 32 y los sueldos
correspondientes en la Línea 9 (Código 161)
y el respectivo Impuesto Unico de Segunda Categoría
en la Línea 30. Luego se sumarán las rentas
o cantidades registradas en las Líneas 8 (Código
152), 10 (Códigos 159 y 749) y 9 (Código 161),
anotando el resultado obtenido en las Líneas 14 (Código
158) y 18 (Código 170). Finalmente, el impuesto Global
Complementario a registrar en la Línea 19 (Código
157) sólo se calculará sobre las rentas
de la Línea 9 incluidas en la Línea 18 (Código
170), es decir, sin considerar las rentas exentas y su respectivo
incremento declaradas en las Líneas 8 y 10 y registradas
también en la citada Línea 18 (Código
170). Por último, se señala que para los efectos
del cálculo de los límites máximos
hasta los cuales proceden las rebajas que se analizan sólo
se considerarán las rentas declaradas en la Línea
9 (Código 161). |
-
Rebaja por dividendos hipotecarios pagados
por viviendas nuevas acogidas al D.F.L. Nº 2/59, según
Ley N° 19.622/99 (Código 740)
La Ley Nº 19.622 establece que los contribuyentes del Impuesto
Unico de Segunda Categoría o del impuesto Global Complementario
que adquieran o construyan una vivienda nueva acogida a las normas
del DFL Nº 2, de 1959, podrán deducir de las bases
imponibles de los impuestos antes indicados, los dividendos
o aportes enterados a las instituciones, empresas o personas
que han intervenido en el financiamiento de tales inmuebles, rebaja
que operará bajo los siguientes términos:
- Personas
que pueden acogerse al beneficio
-
Sólo pueden acogerse al beneficio que establece
la Ley Nº 19.622, las personas naturales afectas
al Impuesto Unico de Segunda Categoría o al Impuesto
Global Complementario, establecidos en los artículos
43 Nº 1 y 52 de la Ley de la Renta, respectivamente,
siempre que cumplan con los siguientes requisitos copulativos:
-
Que contraigan una obligación con garantía
hipotecaria con bancos e instituciones financieras
o agentes administradores de créditos hipotecarios
endosables a que se refiere el artículo 21
bis del D.F.L. Nº 251, de 1931, que operen en
el país;
-
Que con dicho crédito se adquiera una vivienda
nueva acogida a las normas del decreto con fuerza
de ley Nº 2, de 1959; y
- Que
la misma vivienda se constituya en garantía
hipotecaria de la citada obligación contraída.
-
Personas que no pueden acceder al beneficio
De lo expresado en el N° (1) precedente, se puede apreciar
que la franquicia en comento está establecida en beneficio
exclusivo de las personas naturales afectas a los impuestos
mencionados en dicho numerando que adquieran en forma individual
una vivienda nueva y no meros derechos sobre ella, que cumpla
con los requisitos y condiciones que exige el DFL N° 2,
de 1959, de lo que se concluye que tal franquicia no opera
cuando la vivienda es adquirida por dos o más personas
en comunidad o copropiedad, ya que en tales casos dichas personas
no adquieren la vivienda propiamente tal, sino que una cuota
de dominio sobre ella, situación que no está
prevista en la ley que contempla la franquicia.
-
Forma de adquirir la vivienda
La vivienda debe ser adquirida al crédito mediante
alguna de las siguientes modalidades de financiamiento:
- Mediante
un contrato de compraventa financiado con un crédito
hipotecario otorgado por una entidad que opere en el país,
que puede ser un banco, una institución financiera
o un agente administrador de mutuos hipotecarios endosables
de aquellos a que se refiere el artículo 21º
bis del D.F.L. Nº 251, de 1931;
- Mediante
la contratación de un crédito hipotecario
con las mismas instituciones señaladas anteriormente,
destinado a la construcción de la vivienda por
su respectivo propietario;
-
Mediante la celebración de un contrato de arrendamiento
con promesa de compraventa de la vivienda, celebrado bajo
las normas de la Ley Nº 19.281, de 1993; y
- Mediante
la adquisición a través de un sistema de
cooperativa de viviendas.
-
Tipo de vivienda que debe adquirirse para
gozar del beneficio
Las viviendas que dan derecho a la rebaja tributaria, son
aquellas adquiridas nuevas, construidas bajo las normas
del D.F.L. Nº 2, de 1959, entendiéndose por una
vivienda nueva, aquella que se adquiere por primera vez para
ser usada por el propietario o por terceras personas.
Por lo tanto, para la procedencia de la rebaja tributaria
indicada, debe darse estricto cumplimiento a los siguientes
requisitos:
- Debe
tratarse de la compra, construcción, adquisición
por intermedio de una cooperativa de vivienda o arrendamiento
con promesa de compraventa de una vivienda nueva, bajo
las formas de adquisición señaladas en el
Nº (3) precedente;
-
Debe tratarse de una vivienda de aquellas que cumplan
con las características que establece el D.F.L.
Nº 2, de 1959, esto es, que se trate de viviendas
que tengan una superficie edificada no superior a 140
metros cuadrados por unidad de vivienda y reunir los demás
requisitos que establece dicho texto legal; y
- Que
la vivienda que se adquiere haya cumplido con la recepción
final de la Dirección de Obras de la Municipalidad
respectiva acogida al DFL Nº 2, de 1959.
Cabe destacar
que el beneficio en comento, rige por persona y no
por número de viviendas, pudiendo por lo tanto, el
contribuyente adquirir una o varias viviendas, cualquiera
que sea el precio de adquisición de éstas, o
el destino que le de su propietario (habitación o explotación
mediante su arriendo) dentro del ámbito del D.F.L.
Nº 2, de 1959, con la única condición de
que se trate de una vivienda nueva y cumpla con los requisitos
exigidos por el texto legal antes mencionado.
- Período
por el cual se hace aplicable el beneficio
La deducción tributaria que se comenta podrá
hacerse efectiva a contar del 22 de junio de 1999, considerando
las siguientes situaciones:
- En
el caso de la adquisición del bien raíz
mediante un contrato de compraventa, el beneficio, regirá
desde el mes en que se celebre el contrato que dé
origen a la obligación con garantía hipotecaria;
-
Tratándose de la construcción, la fecha
del contrato de mutuo para realizarla con garantía
hipotecaria, determina el tope máximo expresado
en UTM por cada mes en que se pague una cuota. Sin embargo,
el derecho a efectuar la deducción por las cantidades
pagadas, procederá desde que se cumplan los demás
requisitos del artículo 1º de la Ley Nº
19.622/99, como ser, que se encuentre terminada y debidamente
aprobada por la Municipalidad la recepción final
de la vivienda acogida a las normas del DFL Nº 2,
de 1959;
-
En las cooperativas de vivienda, la fecha en que se contrae
la obligación hipotecaria para construir los inmuebles,
fijará el tope máximo expresado en UTM que
corresponda, respecto de las cooperados que tengan esta
calidad a la fecha en que la cooperativa contrajo dicha
obligación; pero el derecho a la deducción
de los pagos efectuados por cada socio de la base imponible
de sus impuestos personales, solo procederá desde
la fecha en que dicho socio adquiera el bien raíz,
acogido a las normas del DFL Nº 2, de 1959, es decir,
se haya perfeccionado legalmente la adjudicación
o la compraventa respectiva, según corresponda.
Ello por cuanto la ley supone como requisito básico
para la procedencia del beneficio, que se adquiera una
vivienda y no meros derechos sobre ella; y
-
En el caso de los contribuyentes amparados por la ley
Nº 19.281, tanto la determinación del monto
máximo del beneficio, como la aplicación
de éste, procederá desde la fecha de la
suscripción del contrato de arrendamiento con promesa
de compraventa de la vivienda DFL Nº 2, nueva, respecto
de los aportes que efectúen, excluidos los subsidios
que se hubiesen pagado.
- Monto
a que asciende la rebaja tributaria y límites máximos
La rebaja tributaria en comento a efectuar de las bases imponibles
de los impuestos indicados, equivale a los montos efectivamente
pagados por concepto de cuotas de una obligación hipotecaria
a las instituciones, empresas o personas con las cuales han
contraído las obligaciones financieras por la adquisición
de una o más viviendas acogidas a las normas del D.F.L.
Nº 2, de 1959, debidamente reajustados dichos valores
por los factores de actualización indicados en la Tercera
Parte de este Suplemento Tributario, considerando para tales
fines el mes del pago efectivo de la respectiva cuota o dividendo.
En el caso de viviendas adquiridas bajo contratos de arrendamiento
con promesa de compraventa acogidas a las normas de la Ley
Nº 19.281, y sus modificaciones posteriores, la rebaja
tributaria en análisis estará constituida por
los aportes efectuados a las entidades correspondientes
en cumplimiento de los mencionados contratos, actualizados
dichos aportes bajo la misma forma antes indicada.En todo
caso, dicha rebaja rige por persona y no podrá exceder
de los montos anuales en los períodos calendarios
que se indican más adelante, expresados en Unidades
Tributarias Mensuales del mes de diciembre de cada año,
según sea la fecha en que se hizo aplicable el beneficio,
y por el conjunto de las viviendas acogidas a dicha franquicia.
Ahora bien, por el hecho de constituir un beneficio personal,
el monto máximo del tope de la rebaja es solo uno,
es decir, quien tiene derecho a 10 UTM no podrá adicionar
a esta deducción 6 UTM ó 3 UTM, aunque se trate
de nuevas operaciones, considerando además que dicho
monto máximo es el mismo encontrándose expresado
en términos decrecientes, por lo que no pueden ser
acumulables.Debe hacerse presente que el monto máximo
se debe determinar en relación al número de
cuotas o aportes pagados o enterados durante el año
calendario respectivo, los cuales no podrán ser superiores
a doce en el año, salvo que se trate de cuotas pagadas
con retraso de hasta 12 meses anteriores, multiplicadas por
los topes de 10 UTM, 6 UTM ó 3 UTM, según sea
la fecha en que contrajo la deuda hipotecaria, según
detalle que se indica más adelante.La cuotas con derecho
a deducir de la base imponible de los impuestos personales
señalados, deben corresponder a las obligaciones con
garantía hipotecaria que se hayan contraído.
Por lo tanto, deberá entenderse que dicha cuota
solo comprende la amortización del capital, intereses
y las comisiones que se pacten, que se encuentren amparados
por la hipoteca.En el caso de los contratos de arrendamiento
con promesa de compraventa de viviendas nuevas, regidos por
la ley Nº 19.281, podrán deducirse los aportes
correspondientes pagados, excluidos los subsidios.En resumen,
los límites máximos de dicha rebaja ascienden
a los siguientes montos, según sea la fecha de adquisición
de la vivienda:

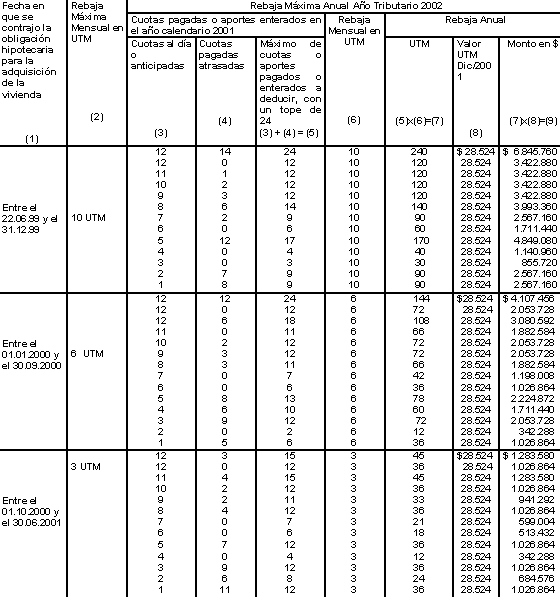
Por ejemplo, para el Año Tributario 2002, la
rebaja máxima anual será la siguiente, según
sea la fecha en que el contribuyente contrajo la obligación
hipotecaria:

Cabe hacer presente que la rebaja tributaria en estudio procede
por el monto de las cuotas por obligaciones hipotecarias pagadas
o aportes enterados, según corresponda, durante el
ejercicio comercial respectivo, en abono de las obligaciones
hipotecarias contraídas, las cuales no pueden exceder
de doce en el año calendario respectivo, salvo que
se trate de cuotas pagadas con retraso de hasta doce meses
anteriores, con la única condición que el conjunto
de tales pagos en el año respectivo no debe exceder
de los montos máximos antes indicados expresados en
UTM.Cuando se trate de cuotas por obligaciones hipotecarias
o aportes que correspondan a períodos anteriores y
que se están pagando en forma atrasada, sólo
se considerará para los fines de cuantificar el monto
de la rebaja tributaria los valores efectivamente pagados
o enterados por concepto de la cuota o aporte, excluidos
los recargos por intereses moratorios u otras sanciones que
apliquen las instituciones financieras acreedoras.
- Documento
en que debe quedar constancia la procedencia del beneficio
Para la procedencia del beneficio en comento, los contribuyentes
deberán dejar constancia expresa en la escritura pública
respectiva que se acogen a dicha franquicia, consignando en
el citado instrumento público una leyenda de un tenor
similar a la siguiente: "La vivienda que se adquiere,
se construye o autoconstruye, o se compromete a adquirir,
según corresponda, singularizada en el presente instrumento
público, se acoge a los beneficios tributarios a que
se refiere la Ley Nº 19.622, publicada en el Diario Oficial
de 29 de julio de 1999 por cumplir con las condiciones y requisitos
que exige dicho texto legal".
- Forma
de hacer efectiva la rebaja tributaria en el caso de los contribuyentes
del impuesto Global Complementario
-
La rebaja tributaria que se comenta, los contribuyentes
del Impuesto Global Complementario la efectuarán
directamente de las rentas debidamente actualizadas, efectivas
o presuntas, declaradas en la renta bruta global de
dicho tributo, a través de las Líneas 1
a la 10, registrándola debidamente reajustada en
la forma indicada en el Nº (6) anterior, en la Línea
16 (Código 740) del Formulario Nº 22.
En todo caso, la cantidad a registrar en dicho Recuadro
(Código 740) no debe exceder de los montos máximos
indicados en el Nº (6) precedente, vigentes para
el Año Tributario 2002.
-
Se hace presente que se comprenden dentro de este grupo
de contribuyentes, las personas que, además de
las rentas del trabajo dependiente, obtengan otros ingresos
afectos al impuesto Global Complementario. Por lo tanto,
los contribuyentes que se encuentren en esta situación
deben efectuar las rebajas por cuotas hipotecarias pagadas
o aportes enterados de la base imponible del impuesto
Global Complementario que les afecta por el conjunto de
las rentas obtenidas.
- Forma
de hacer efectiva la rebaja tributaria en el caso de los contribuyentes
afectos sólo al impuesto Unico de Segunda Categoría
Los contribuyentes del Impuesto Unico de Segunda Categoría
para gozar de la rebaja tributaria que se comenta, deberán
efectuar una reliquidación anual de dicho tributo,
la que se realizará a través del mismo Formulario
Nº 22, conforme a las siguientes instrucciones:
-
En primer lugar, las bases imponibles del Impuesto Unico
de Segunda Categoría determinadas en cada mes del
año calendario respectivo, se actualizarán
en la forma dispuesta por el inciso penúltimo del
artículo 54º de la Ley de la Renta, esto es,
de acuerdo al porcentaje de variación experimentada
por el Indice de Precios al Consumidor en el período
comprendido entre el último día del mes
que antecede al de la percepción de las rentas
que constituyen la base imponible de dicho tributo y el
último día del mes de noviembre del año
respectivo;
-
En segundo lugar, de la base imponible anual actualizada
en los términos antes indicados, se deducirá
el monto de los dividendos o aportes efectivamente pagados
o enterados durante el año calendario respectivo,
deducción que se efectuará debidamente actualizada
bajo la forma prevista por el inciso final del artículo
55º de la Ley de la Renta, esto es, de acuerdo con
el porcentaje de variación experimentada por el
índice de precios al consumidor en el período
comprendido entre el último día del mes
que antecede al pago efectivo del dividendo o entero del
aporte y el mes de noviembre del año correspondiente;
En todo caso se aclara, que el monto a deducir por este
concepto no podrá exceder del monto máximo
establecido en el N° (6) precedente.
-
La diferencia positiva que resulte de deducir de la cantidad
señalada en el punto (9.i) anterior la indicada
en el punto (9.ii) precedente, constituirá la nueva
base imponible anual del Impuesto Unico de Segunda
Categoría, a la cual se le aplicará la escala
de dicho tributo del artículo 43º Nº
1 de la Ley de la Renta que esté vigente en el
año tributario respectivo, expresada en valores
anuales, esto es, en Unidades Tributarias Anuales, considerando
para tales efectos los créditos y demás
elementos que se utilizan para el cálculo mensual
del citado tributo.
De la aplicación de las escalas de impuesto vigentes
en el año tributario respectivo a la nueva base
imponible anual determinada resulta el nuevo Impuesto
Unico de Segunda Categoría que el contribuyente
de dicho tributo debió pagar después de
efectuada la rebaja tributaria que establece la Ley N°
19.622/99.
-
En cuarto lugar, el impuesto único retenido por
el respectivo empleador, habilitado o pagador en cada
mes, sobre la base imponible indicada en el punto (9.i)
anterior, se actualiza en la forma prescrita por el artículo
75º de la Ley de la Renta, esto es, bajo la misma
modalidad indicada en el punto (9.ii) precedente, considerando
para tales fines el mes en que fue efectivamente retenido
el Impuesto Unico de Segunda Categoría por las
personas antes mencionadas, incluyendo la diferencia de
impuesto por la reliquidación anual que resulte
de dicho tributo por rentas simultáneas, diferencia
que se incluirá por el mismo valor determinado,
sin aplicarle reajuste alguno. En todo caso se aclara,
que no deberán considerarse dentro de los impuestos
antes señalados aquellas mayores retenciones efectuadas
a los trabajadores o jubilados por algunos de los empleadores,
habilitados o pagadores, conforme a las normas del inciso
final del artículo 88 de la Ley de la Renta, las
cuales son consideradas pagos provisionales mensuales
voluntarios y deben ser recuperados como tales por los
citados contribuyentes a través de la Línea
49 (Código 54) del Formulario N° 22.
-
Del impuesto único determinado en el punto (9.iv)
anterior, se deducirá el nuevo impuesto único
determinado en la forma señalada en el punto (9.iii)
precedente, constituyendo la diferencia positiva que resulte
un remanente de impuesto a favor del contribuyente, el
cual podrá dar de abono a cualquier otra obligación
anual que le afecte al término del ejercicio mediante
el Formulario Nº 22 de Declaración de los
Impuestos Anuales a la Renta, como por ejemplo, a la diferencia
de Impuesto Unico de Segunda Categoría que resulte
de la reliquidación anual de dicho tributo por
rentas simultáneas percibidas de más de
un empleador, habilitado o pagador. En el evento que aún
quedare remanente por no existir dichas obligaciones tributarias
anuales o éstas ser inferiores, dicho excedente
será devuelto al contribuyente por el Servicio
de Tesorerías en los términos previstos
por el artículo 97º de la Ley de la Renta.
-
Forma de acreditar la rebaja por concepto
de dividendos hipotecarios y aportes enterados por la adquisición
de viviendas nuevas acogidas a las normas del DFL Nº
2/59.
Las personas naturales que tienen derecho a la rebaja que
se comenta, deberán acreditar los montos pagados por
concepto de dividendos hipotecarios o aportes enterados, según
corresponda, mediante el Modelo de Certificado Nº 19,
que se transcribe a continuación, el cual debe ser
emitido por las instituciones, empresas o personas que han
intervenido en el financiamiento de la adquisición
de la vivienda, hasta el 28 de Febrero del año 2002
y confeccionarse de acuerdo a las instrucciones de la Circular
del SII Nº 97, del año 2001, publicada en el Boletín
del mes de Diciembre del año 2001 y Suplemento Tributario
sobre "Instrucciones Generales para las Declaraciones
Juradas 2002", publicado en el Diario El Mercurio del
día 13 de Diciembre del año 2001.
Modelo de Certificado Nº 19, Sobre Dividendos Hipotecarios
Pagados o Aportes Enterados, Según Corresponda, en
Cumplimiento de Obligaciones Hipotecarias Contraídas
para la Adquisición o Construcción de una Vivienda
Nueva Acogida a las Normas del D.F.L. Nº 2, de 1959,
Conforme a las Disposiciones de la Ley Nº 19.622, de
1999, Modificada por la Ley N° 19.768, de 2001

A continuación se plantea un ejemplo práctico
de la forma como se efectúa la reliquidación
del Impuesto Unico de Segunda Categoría por los contribuyentes
antes indicados, cuando únicamente obtengan rentas
del artículo 42 N° 1 de la Ley de la Renta (sueldos)
y tengan derecho a la rebaja por dividendos hipotecarios pagados
por viviendas nuevas acogidas al DFL N° 2/59, según
la Ley N° 19.622/99):
-
Antecedentes

- Desarrollo

|
Nota:
Se hace presente que si este tipo de contribuyentes,
además, de las rentas del artículo 42
N° 1 (sueldos) han obtenido otros ingresos o rentas
exentas del impuesto Global Complementario, ya sea,
por no exceder los montos exentos que establece la ley
para dicho tributo personal o la exención provenga
de una norma legal expresa, y los referidos ingresos
exentos le den derecho al contribuyente a la devolución
de un crédito, como puede ser, por ejemplo, el
crédito por impuesto de Primera Categoría
asociado a dichas rentas exentas, los citados contribuyentes
deben declarar estas rentas sólo para
los efectos de la recuperación de dicho crédito,
procediendo en tales casos de la siguiente manera: Las
rentas exentas se declararán en la Línea
8 (Código 152), su respectivo incremento cuando
corresponda en la Línea 10 (Código 159
y 749), el crédito por impuesto de Primera Categoría
en el Código (606) de la Línea 8 y Línea
32 y los sueldos correspondientes en la Línea
9 (Código 161) y el respectivo Impuesto Unico
de Segunda Categoría en la Línea 30. Luego
se sumarán las rentas o cantidades registradas
en las Líneas 8 (Código 152), Línea
10 (Códigos 159 y 749) y 9 (Código 161),
anotando el resultado obtenido en las Líneas
14 (Código 158) y 18 (Código 170). Finalmente,
el impuesto Global Complementario a registrar en la
Línea 19 (Código 157) sólo
se calculará sobre las rentas de la Línea
9 incluidas en la Línea 18 (Código 170),
es decir, sin considerar las rentas exentas y su respectivo
incremento declaradas en las Líneas 8 y 10 y
registradas también en la citada Línea
18 (Código 170). Por último, se señala
que para los efectos del cálculo de los límites
máximos hasta los cuales proceden las rebajas
que se analizan sólo se considerarán las
rentas declaradas en la Línea 9 (Código
161).
|
-
Cantidad total a deducir de la renta bruta
global
La cantidad total a deducir de las rentas declaradas en la renta
bruta, corresponde a la suma de los valores registrados
en los Códigos (750) ó (740), determinados éstos
de acuerdo a las instrucciones impartidas en las letras (A) y
(B) anteriores, la cual debe anotarse en el Código (751)
del Formulario Nº 22 para su rebaja definitiva.
Para una mayor ilustración sobre la forma de efectuar la
rebaja a registrar en los Códigos (740) ó (750),
a continuación se presentan los siguientes ejemplos en
el caso de un contribuyente afecto al impuesto Global Complementario:
Ejemplo Nº 1
- Antecedentes

- Desarrollo

Ejemplo
Nº 2
- Antecedentes
- Desarrollo

(En las Circulares
del SII Nºs. 46, del año 1999, 87 y 88 del año
2001, publicadas en los Boletines de los meses de Agosto y Diciembre
de dichos años, se dan mayores instrucciones respecto de
la rebaja por concepto de intereses y dividendos hipotecarios
pagados a que se refieren el artículo 55 bis de la Ley
de la Renta y la Ley N° 19.622/99).
|